
In diesem Kapitel liegt der Schwerpunkt einerseits auf der Berechnung der Schnittpunkte zweier Parabeln und anderseits wollen aufgrund unserer Berechnungen angeben, wie zwei Parabeln zueinander liegen.
Die gegenseitige Lage von zwei Parabeln kann grundsätzlich bedeuten, dass diese
Je nach Lagebeziehung der beiden Parabeln können wir mit dem nachfolgend beschriebenen Lösungsprinzip keine Lösung, genau eine Lösung oder sogar zwei Lösungen erhalten.
Das grundlegende Lösungsprinzip zur Schnittpunktberechnung zweier Funktionen ist immer das gleiche, ganz egal welche Funktionsterme oder Funktionsarten vorliegen:
Zwei Beispiele im Video
Ein weiteres Beispiel schriftlich:
| Bestimme die Lagebeziehung der beiden Parabel mit den
Funktionstermen \(f(x)=x^2-4x+2\) und \(g(x)=x^2-2,5x-2\). \(f(x)=g(x)\) \(x^2-4x+2=x^2-2,5x-2\) \(-\frac{3}{2}x=-4\) \(\Rightarrow x_s=\frac{8}{3}\) Schnittpunkt berechnen: \(y_s=f(x_s)=f(\frac{8}{3})=(\frac{8}{3})^2-4 \cdot \frac{8}{3}+2=-\frac{14}{9} \) \(\space \Rightarrow S(4|-\frac{14}{9})\) |
|
Aufgabe 1:
Gegeben sind die Funktionen \(f(x)=x^2-3x+1\) und \(g(x)=x^2-2x-1\)
a) Bestimme mit Hilfe der quadratischen Ergänzung die Scheitelpunktform.
b) Zeichne beide Graphen in ein Koordinatensystem und
bestimme aus den
Graphen die Schnittpunkte beider
Parabeln.
c) Überprüfe die abgelesenen Werte schriftlich!
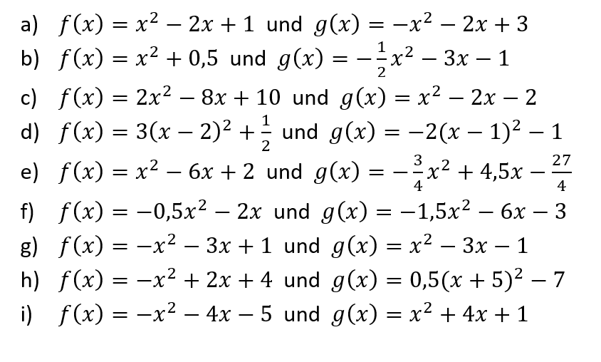
Aufgabe 2:
Berechne die Schnittpunkte der Parabeln und beschreibe mit den Ergebnissen die gegenseitige Lagebeziehung der Parabeln. Fertige eine einfache Skizze an, die dein Ergebnis veranschaulicht!