6.4 Betragsfunktion

 

Betragsfunktionen sind "klassische" Beispiele für nicht-differenzierbare Funktionen, wie folgende Beispiele veranschaulichen!

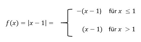
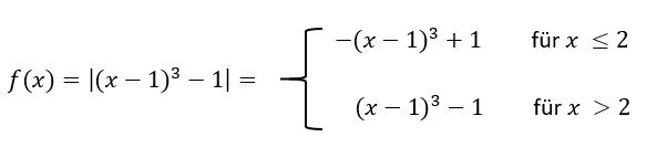
Die Betragsfunktion stellt sicher, dass für alle \(x \in D_f\) nur positive Funktionswerte ausgegeben werden. Es ergibt sich durch die Auflösung des Betrags nach folgendem Muster zwangsläufig eine zusammengesetzte Funktion.

 

Vorgehen zum Auflösen des Betrags:

  • Die Nullstelle des Arguments bestimmt die Nahtstelle.
  • Für die Bereiche, in denen das Argument des Betrags negative Werte liefert, werden die Betragsstriche   \( | .... | \)   durch eine Minusklammer   \( -( .... ) \)   ersetzt.
  • In den anderen Bereichen können sie weggelassen werden.

 

Betrag_x Betrag x
Betrax xminus1 Betrag xminus1
Betrag extrem

 

Die beiden Punkte \(A\) und \(B\) können auf dem Graphen der Nahtstelle beliebit angenähert werden. Man erkennt sofort, dass es unmöglich eine eindeutige Steigung bei links- bzw. rechtsseitiger Annäherung geben kann.

 

 

Rechnerischer Nachweis für f(x)=|x|

 

Betrag_x Betrag x

Linksseitiger Grenzwert mit  \(x \leq 0\):
\(\lim \limits_{h \to 0^-} \frac{f(0+h)-f(0)}{h}= \lim \limits_{h \to 0^-} \frac{-(0+h)-(-0)}{h}=\lim \limits_{h \to 0^-} \frac{-h}{h}=\lim \limits_{h \to 0^-} -1=-1\)

Rechtsseitiger Grenzwert mit \(x>0\)  :
\(\lim \limits_{h \to 0^+} \frac{(0+h)-f(0)}{h}= \lim \limits_{h \to 0^+} \frac{(0+h)-(0)}{h}=\lim \limits_{h \to 0^+} \frac{h}{h}=\lim \limits_{h \to 0^+} 1=1\)