6.2 Nicht differenzierbare Funktionen

Unsere bekannten Funktionen sind in ihrem Definitionsbereich \(D_f\) in der Regel differenzierbar. Keine Probleme bereiten uns also folgende Funktionen:

  • ganzrationale Funktionen vom Grad n (Polynomfunktionen)
  • gebrochen rationale Funktionen
  • Trigonometrischen Funktionen
  • Exponential- und Logarithmusfunktionen

 

Explizit untersucht werden müssen zusammengesetzte Funktionen, die an einer "Nahtstelle" \(x_0\) zusammengesetzt sind. An dieser Nahtstelle können  Funktionsgraph dieser Funktionstypen einen "Knick" aufweisen, wie folgendes Beispiel zeigt.

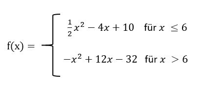
Der gesamte Funktionsgraph der Funktion \(f\) setzt sich aus zwei unterschiedlichen Funktionstermen zusammen, die in festgelegten Intervallen definiert sind:

  • \(f_1(x)=\frac{1}{2}x^2-4x+10\)       für \(x \leq 6\)
  • \(f_2(x)=-x^2+12x-32\)    für \(x > 6\)

 

Schreibweise:

Zusammengesetzte Funktion

Die Nahtstelle der Funktion ist \(x_0=6\) und an dieser Stelle erkennen wir am Funktionsgraphen \(G_f\) im Punkt \(P\) einen deutlichen Knick!

Dieser äußert sich auch darin, dass die Tangente der linksseitigen Annäherung am Punkt \(P\) eine andere Steigung aufweist, als die Tangente der rechtsseitigen Annäherung in diesem Punkt.

 

Ergebnis: Die Funktion \(f\) ist nicht differenzierbar!

 

Rechnerischer Nachweis

Bei zusammengesetzten Funktionen muss Überprüfung der Gleichheit des Differentialquotienten bei linksseitiger und rechtsseitiger Annäherung an der Nahtstelle \(x_0\) zum Nachweis der Differenzierbarkeit durchgeführt werden.

Prüfe an der Nahtstelle:   \( \lim \limits_{h \to 0^-} \frac{f(x_0+h)-f(x_0)}{h} =\lim \limits_{h \to 0^+} \frac{f(x_0 +h)-f(x_0)}{h} \)

 

Linksseitige Annäherung mit:     \(f_1(x)=\frac{1}{2}x^2-4x+10\) 

\( \lim \limits_{h \to 0^-} \frac{f_1(6+h)-f_1(6)}{h}\) \( = \lim \limits_{h \to 0^-} \frac{0.5(6+h)^2-4(6+h)+10-(18-24+10)}{h} \)
  \(= \lim \limits_{h \to 0^-} \frac{18+6h+0.5h^2-24-4h+10 -4}{h}\)
  \(= \lim \limits_{h \to 0^-} \frac{2h+0.5h^2}{h}= \lim \limits_{h \to 0^-}2+0.5h=2\)

 

Rechtsseitige Annäherung mit:     \(f_2(x)=-x^2+12x-32\)  

\( \lim \limits_{h \to 0^+} \frac{f(6+h)-f(6)}{h}\) \( = \lim \limits_{h \to 0^+} \frac{-(6+h)^2+12(6+h)-32-(-36+72-32)}{h} \)
  \(= \lim \limits_{h \to 0^+} \frac{-36-12h-h^2+72+12h-32 -4}{h}\)
  \(= \lim \limits_{h \to 0^-} \frac{-h^2}{h}= \lim \limits_{h \to 0^-}h=0\)

Ergebnis:
Die Grenzwerte der links- und rechtsseitigen Annäherung an die Nahtstelle liefern unterschiedliche Ergebnisse, d.h. die Funktion \(f\) ist an der Stelle \(x_0=6\) nicht differenzierbar. Insgesamt ist die Funktion daher in ihrem Definitionsbereich nicht differenzierbar!